于平课题组介绍
| 课题组长 |
|
| 研究介绍 |
课题组主要利用低温扫描隧道显微镜和原子力显微镜技术,研究利用表面合成方法制备的具有原子尺度精准的纳米材料的电子结构以及实现其功能性的器件制备,主要研究内容包括:(1)利用自下而上的研究方法,设计前导分子,结合湿法化学和表面合成的技术手段,制备原子尺度精准的一维和二维石墨烯纳米材料,研究并调控其电子结构和磁性;(2)探索在金属衬底和绝缘衬底上的化学反应机理,实现其电子器件的功能性;(3)利用扫描针尖或激光等技术手段精细调控单分子或表面合成的纳米材料的电子结构, 研究由电场或光子对分子器件的调控原理。
|
| 发表文章 |
Independent Publications: 2024 1) Topological Structure Realized in Cove-Edged Graphene Nanoribbons via Incorporation of Periodic Pentagon Rings ## , Liu Jian, Zhou Wang, Zhihao Ding, Yunlong Su, Bo Yang*, KaKing Yan*, * and Ping Yu* J. Am. Chem. Soc. 146, 7152 (2024)
2023 1) Orbital-symmetry effects on magnetic exchange in open-shell nanographenes Qingyang Du#, Xuelei Su#, Yufeng Liu#, Yashi Jiang#, Can Li, KaKing Yan, Ricardo Ortiz*, Thomas Frederiksen*, Shiyong Wang* and Ping Yu* Nature Communications 14, Article number: 4802 (2023)
2022 1) On-Surface Synthesis of C144 Hexagonal Coronoid with Zigzag Edges Xujie Zhu#, Yanan Liu#, Weiwen Pu#, Fang-Zi Liu, Zhijie Xue, Zhaoru Sun*, Kaking Yan*, and Ping Yu* ACS Nano 16, 7, 10600-10607 (2022)
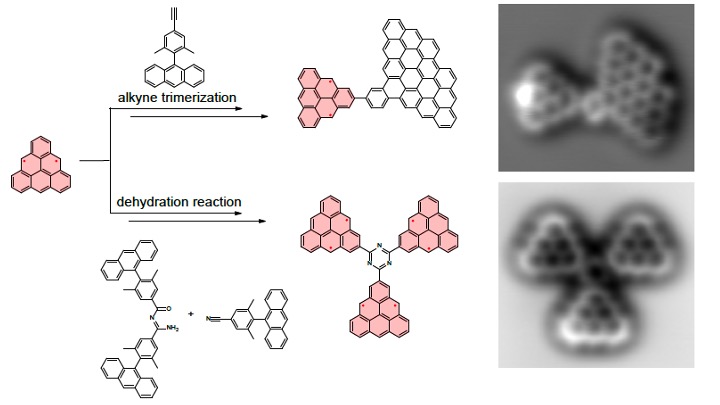
2) On-surface synthesis of triangulene trimers via dehydration reation Suqin Cheng#, Zhijie Xue#, Can Li#, Yufeng Liu, Longjun Xiang, Youqi Ke, Kaking Yan, Shiyong Wang* and Ping Yu* Nature Communications 13, Article number: 1705 (2022) featured in a Nature Communications Editors' Highlight page: //www.nature.com/ncomms/editorshighlights
2021 1) Helical Conformation Tunability via Hydrogen Bonding in Supramolecular Frameworks Zhijie Xue#, Fuwei Gan#, Hong Liu#, Chengshuo Shen, Huibin Qiu*, Bo Yang* and Ping Yu* CCS Chem. 3, 1639-1647 (2021)
2020 1) Atomically Precise Synthesis and Characterization of Heptauthrene with Triplet Ground State Xuelei Su#, Can Li#, Qingyang Du#, Kun Tao, Shiyong Wang*, and Ping Yu* Nano Letter. 20, 9, 6859 (2020)
2) On-Surface Synthesis of All-cis Standing Phenanthrene Polymers upon Selective C-H Bond Activation Qingyang Du#, Weiwen Pu#, Zhaoru Sun* and Ping Yu* J. Phys. Chem. Lett. 11, 13, 5022-5028 (2020)
3) Stepwise On-Surface Synthesis of Porous Carbon Nanoribbons with Notched Zigzag Edges Suqin Cheng, Xuelei Su, Fuwei Gan, Chengshuo Shen, Huibin Qiu*, Kun Tao* and Ping Yu* J. Phys. Chem. C. 124, 1, 756-763 (2020)
2019 1) Chiral Recognition of Hexahelicene on a surface via the Forming of Asymmetric Heterochiral Trimers Hong Zhang, Hong Liu, Chengshuo. Shen, Fuwei. Gan, Xuelei. Su, Huibin Qiu*, Bo Yang*, Ping Yu* Int. J. Mol. Sci, 20, 8, 2018 (2019) 2018 1) Edge State Engineering of Graphene Nanoribbons
Selected Ph.D. & Postdoc. Publications: 1.Apparent Reversal of Molecular Orbitals Reveals Entanglement. P. Yu, N. Kocić, J. Repp, B. Siegert, and A. Donarini. Physical Review Letters 119, 056801 (2017) 2. Tracking the ultrafast motion of a single molecule by femtosecond orbital imaging. T. L. Cocker, D. Peller, P. Yu, J. Repp, R. Huber Nature, 539, 263 (2016). 3. Nanoscale photoelectron mapping and spectroscopy with an atomic force microscope. P. Yu, J. Kirschner. Phys. Rev. Lett. 111, 067602 (2013). 4. Nanoscale imaging of photoelectrons using an atomic force microscope. P. Yu, J. Kirschner. Appl. Phys. Lett. 102, 063111 (2013). 5. Spin-orbit coupling in unoccupied quantum well states: experiment and theory for Co/Cu(001). C.-T. Chiang, A. Winkelmann, P. Yu, J. Henk and J. Kirschner, Phys. Rev. B. 81, 115130 (2010). 6. Magnetic dichroism from optically excited quantum well states. C.-T. Chiang, A. Winkelmann, P. Yu, and J. Kirschner. Phys. Rev. Lett. 103, 077601 (2009). 7. Unconventional spin topology in surface alloys with Rashba-type spin splitting. H. Mirhosseini, J. Henk, A. Ernst, S. Ostanin, C.-T. Chiang, P. Yu, A. Winkelmann, and J. Kirschner. Phys. Rev. B. 79, 245428 (2009). |
| 本组成员 |




| 组内合影 |

| 毕业成员 |

张鸿
毕业去向:上海微创

刘亚男
毕业去向:美迪西公司



















