9月24日,小妲己直播 小妲己直播 张石磊课题组在时间分辨软X射线散射方法学上取得进展,开发出基于同步辐射X射线“反射率铁磁共振”(Reflectometry Ferromagnetic Resonance, RFMR)技术。该技术可以广泛应用于研究磁性薄膜材料中的磁振子结构及自旋波的性质。该研究成果以“Depth-resolved magnetization dynamics revealed by x-ray reflectometry ferromagnetic resonance”为题发表在物理学国际顶尖期刊《物理评论快报》(Physical Review Letters),期刊还特别配以专题评述文章。

图 | Physical Review Letters专题评述文章
磁性薄膜是磁学领域中被广为研究的材料体系之一。由于其制备工艺成熟且结构参数的可调性丰富,众多的物理效应可以通过人工设计的异质结或超晶格结构获得,是研究凝聚态磁学和自旋电子学的重要体系。例如,通过制备铁磁/非磁/铁磁的三明治薄膜结构,可以实现自旋阀和隧道结体系观测到磁电阻效应;通过制备铁磁/重金属异质结,可以诱导出拓扑磁构型;通过软磁薄膜与超导微波波导谐振模式的耦合,可以实现宏观体系下的量子计算系统。因此,磁性薄膜体系是研究凝聚态磁学的重要平台。描述磁多体关联体系的基本理论框架是线性自旋波理论。在此理论框架下,多体体系的微观相互作用导致了体系在动量空间出现准粒子激发:磁振子。磁振子在动量-能量空间的色散结构则描述了整个体系的性质。研究薄膜磁振子性质的重要实验方法是铁磁共振,即在动量为零处利用电磁波诱发能级的跃迁,产生特征的集体自旋进动模式。
体系的维度是导致磁振子结构的重要因素。有限厚度的磁性薄膜材料,尤其是人工超晶格多层膜材料,在物理上是一个三维体系。然而,长期以来,在理论上这些薄膜多被处理为二维体系,在第三个维度(厚度方向)的研究开展甚少。这是因为对于几纳米至几十纳米厚的薄膜,在实验上很难灵敏的探测到不同深度的磁学信息。因此,对于薄膜厚度方向磁振子的研究将为磁性薄膜材料领域提供新的视角和观点。
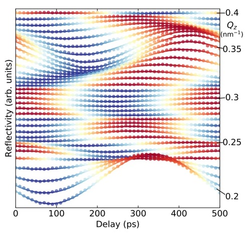
基于这一关键科学问题,张石磊课题组致力于开发基于同步辐射软X射线的新手段用于表征磁性薄膜的三维磁动力学性质。该研究着手于一个简单的实验:X光反射率(x-ray reflectivity, XRR)。如图1所示,当X光入射到含有界面的材料中(如多层膜)时,因为不同界面间距离导致了光程差,产生了在不同入射角下相干效应——即反射率随入射角的变化关系。这一效应常被用作标定薄膜厚度的方法。换而言之,在不同入射角下,XRR能够反映薄膜材料不同深度的信息。

另一方面,磁旋二色(x-ray magnetic circular dichroism, XMCD)效应是表征磁性材料的基本谱学方法,即原子层面能级的跃迁概率(吸收谱强度)取决于磁性原子的角动量(磁矩)和光子的角动量(偏振)的耦合。将XMCD效应应用在XRR实验上将获得对于薄膜材料厚度方向静态磁结构的分辨。在理论上,软X射线反射率(散射)过程需要兼顾到共振吸收过程对于散射因子虚部的贡献。在实验上,XMCD的测量需要在高精度软X射线衍射仪内进行。

小妲己直播 是该工作的主要完成单位,张石磊为通讯作者。该工作与英国钻石光源、中科院物理所磁学国家重点实验室、同济大学和牛津大学共同合作完成。该研究得到了上科大科研启动基金和小妲己直播 拓扑物理实验室的大力支持。
文章链接
//journals.aps.org/prl/accepted/29070Yd8H3a14372367d32e6278fc8c37a7ad55a2
专题评论


