笼状化合物具有共价键构筑的骨架结构,在其空旷空腔填充弱相互作用的客体原子会极大的影响材料的物理性质。例如,原子填充导致的载流子掺杂,会影响迁移率和费米面处能带结构。又比如,填充客体原子可带来低频、非谐的“rattling”振动行为,能够有效降低晶格热导率,进而提高笼状化合物的热电性能。因此,由于具有可调变的结构,特殊的载流子及声子特性,笼状化合物在热电、超导、重费米子、多极磁有序等方面展现出许多优异的物性,在基础研究及能源应用领域有着巨大的潜力。
作为典型的笼状化合物,方钴矿材料已得到了广泛的研究。碱金属、碱土金属、镧系原子都可以填充在方钴矿笼内,进而调控体系载流子浓度和电子关联强度,从而产生很多有意思的现象。比如,齐彦鹏团队曾将碱土金属Ba填充到IrX3 (X = As,P)中,首次在Ir基方钴矿中发现超导电性(J.Am. Chem. Soc. 2017, 139, 8106)。但到目前为止,所有填充方钴矿材料都是电子掺杂,如何能够实现方钴矿类材料的空穴掺杂是材料学研究的难点。
本项工作中,齐彦鹏-应天平-Hideo Hosono联合团队利用金刚石对顶压砧(DAC)技术,对未填充的Ir基方钴矿材料IrX3 (X=As,P)的高压结构及物性进行了深入的研究。高压原位同步辐射XRD结果显示IrAs3在50.8 GPa发生结构转变,As原子进入方钴矿笼中(图1)。

图1. (a) As原子压力诱导填充入笼结构演化示意图。
(b) IrAs3高压原位同步辐射XRD。
(c) IrAs3 高压下霍尔电阻曲线。(d) IrAs3 载流子浓度及As-As间距随压力变化趋势。

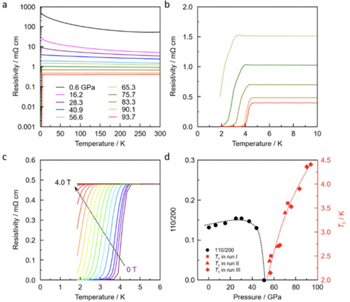
为了得到压力诱导作用下,As原子从笼状骨架填充到笼内的直接证据,联合团队对高压(65 GPa)卸压的样品进行扫描透射电镜测试。如图2所示,原子分辨ABF图中可以清晰地观察到填充入笼内的As原子。与近邻As原子强度比对,可得出高压下As原子笼内填充度为60%。伴随着As/P原子填充入笼,材料出现超导转变。并且超导转变温度随着压力的增加不断提高,IrAs3/IrP3在实验最高压力93.7 GPa/98.7GPa下达到4.4 K/4.8 K,且仍保持随压力继续增加的趋势(图3)。



