一、EuTe2中压致超导与共存反铁磁序的同步增强


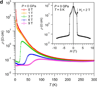
图1、 EuTe2常压下结构和物性:(a)晶体结构示意图,(b) A型反铁磁结构,(c)倾斜反铁磁结构,及(d)不同磁场下的电阻率曲线,插图为5K时的磁阻曲线。
EuTe2具有如图1a所示CuAl2型晶体结构。常压下,EuTe2呈现半导体特性,在奈尔温度TN ≈ 11 K发生反铁磁相变(图1b)。T < TN时,沿c轴方向施加外磁场,Eu2+磁矩会首先在HcSF ≈ 2-3 T发生突然的自旋翻转(图1c),然后在更高磁场HcSP ≈ 7.6 T完全铁磁极化,造成低温下出现磁场诱导的半导体-金属转变,表现出巨磁阻效应(图1d)。
EuTe2能隙约为14-16 meV,适于利用高压调控其自旋-电荷耦合及磁电基态。高压测量显示(图2),虽然EuTe2 单晶在0-11.5 GPa范围内电阻率ρ(T)随压力增加而逐渐减小,但是在11.5 GPa时仍保持半导体行为,而TN随压力增加而单调升高,11.5 GPa时升至约30 K。此外,当压力P > Pc ≈ 6 GPa,ρ(T)在3-5 K出现超导转变,超导转变温度Tc随加压逐渐升高。测量揭示Pc附近超导态的零温Hc2(0)非常接近甚至超过弱耦合的泡利顺磁极限HP = 1.84Tc,说明EuTe2中的超导态具有强耦合或非常规配对机制。高压同步辐射XRD测试结果排除了Pc附近结构相变,因此高压下EuTe2的物性演化与Te-5p能带的展宽和Eu2+磁交换作用的增强应有密切联系,即加压使Te-5p能带提供了更多的载流子,这些载流子在高温时通过间接交换作用增强了Eu2+离子之间的交换作用,同时在低温又形成库珀对。

第一性原理计算和低能有效模型分析的结果预言“软磁”材料EuB6(如图3a所示CsCl-型结构,空间群Pm3m)在顺磁态是拓扑平庸的窄带隙半导体,进入铁磁态后,时间反演对称破缺,交换场导致能带劈裂,形成磁性拓扑半金属态(图3)。合作团队利用高分辨角分辨光电子能谱(ARPES)及第一性原理计算研究其电子结构,发现其(001)解理面存在Eu和B两种截止面。在Eu截止面上观测到的是悬挂键形成的平庸表面态;在B截止面上观测到了体态能带,发现顺磁态EuB6布里渊区三个X(Y, Z)点存在能带反转,对应 = 1的拓扑绝缘态,与考虑了SOC时理论计算符合(图3)。B截止面体态能带随温度发生变化,在铁磁态形成了时间反演对称破缺的磁性拓扑半金属态,其非平庸的拓扑不变量χ = 1保证了该体系能隙不能全部打开。
理论计算还表明,EuB6时间反演对称破缺以后,沿着不同磁化方向,该体系可以是外尔型拓扑节线半金属或者外尔半金属(图3)。由于铁磁态电子结构中的拓扑态无法利用ARPES直接测量,课题组与合作者结合磁输运测量及第一性原理计算,测量并分析了该体系的反常霍尔效应,确认其反常霍尔效应源于非平庸拓扑态的本征性质。
注1:
APL Mater. 2020, 8: 011109. 编辑推荐。链接://doi.org/10.1063/1.5129467
PRB 2019, 100: 201102(R). 编辑推荐, 链接://doi.org/10.1103/PhysRevB.100.201102
Nat. Commun. 2021, 12: 6970. 链接://doi.org/10.1038/s41467-021-26482-7
论文1://www.nature.com/articles/s41467-022-30718-5
论文2://journals.aps.org/prl/abstract/10.1103/PhysRevLett.129.166402
论文3://journals.aps.org/prb/abstract/10.1103/PhysRevB.106.054411


