石墨烯——由碳原子以蜂窝状排列而成的单层二维材料——凭借其独特的低能线性能量色散和拓扑非平庸的电子波函数,展现出各种独特物性。实验室中,科学家们通常将石墨烯放置于绝缘衬底上,或将石墨烯上下两边用绝缘层封装,以便利用门电压调控其电学性质。
图 1. 通过电子转移形成长程电荷序而引发石墨烯中关联效应的物理机制示意图
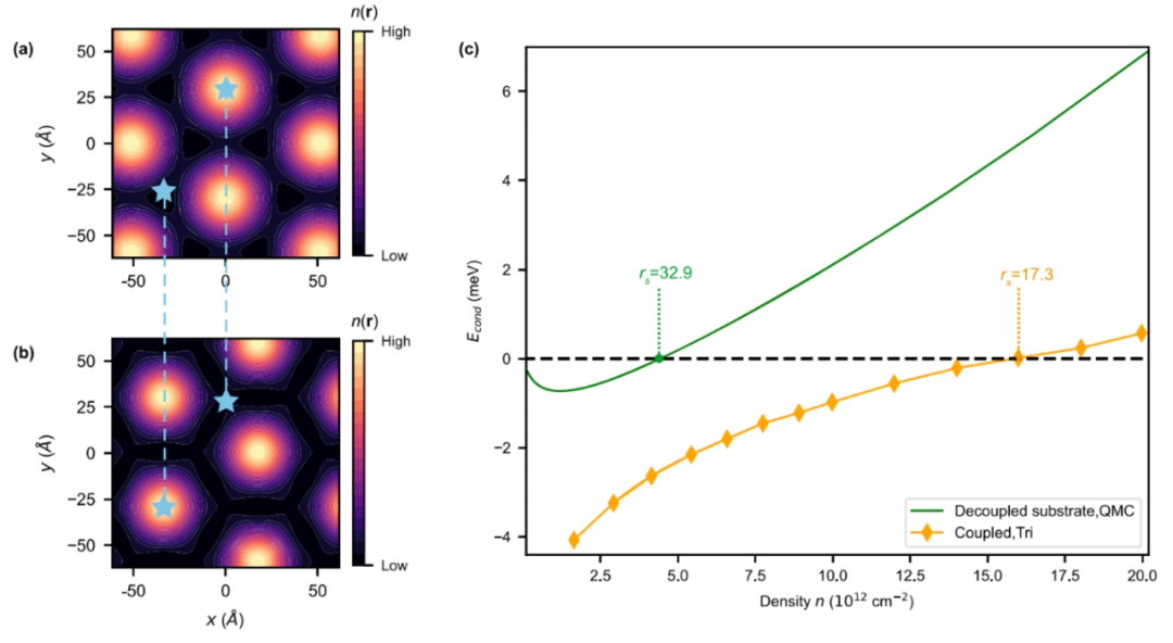
刘健鹏课题组创新提出:当石墨烯中的狄拉克点与绝缘衬底中的能带带边能量接近时,层间电荷转移和库仑相互作用效应将使这类异质结体系中衍生出原本在单层中不可能实现的协同关联物态。在栅电极控制下,石墨烯狄拉克点的能量接近于绝缘衬底的导带(或价带)时,石墨烯中的电子能通过隧穿效应转移到衬底中。当衬底导带中的转移电子密度尚低时,电子间长程库仑相互作用会引发平移对称性的自发性破坏,涌现出拥有长程电荷序的电子晶体态(图1a),即维格纳晶体(Wigner Crystal)。衬底中形成的长程电荷序会通过层间库仑相互作用,而给石墨烯中的电子施加超晶格电势场,将石墨烯的能带折叠到超晶格微型布里渊区中,形成子能带(subbands),并减小狄拉克点附近的费米速度,从而抑制电子动能,促进石墨烯层内的电子间相互作用效应。本理论工作通过建立抽象物理模型与细致的理论计算证实了上述机制的可行性。研究发现连续模型可有效解释上述情形:在联合重整化群的非约束Hartree-Fock近似下,石墨烯会在电中性点由层内电子间库仑作用自发地打开能隙(图2a),并显著增加狄拉克点附近的费米速度甚至两倍以上(图2b),从而更加利于量子霍尔效应的观测。该理论定量地解释了之前山西大学韩拯课题组和北京大学叶堉课题组在石墨烯-CrOCl异质结中的实验现象 (Nature Nanotechnology 17,1272 (2022)):不仅弄清了该异质结中在高温(~100 K)和极低磁场 (~0.1 T) 下却仍然存在的量子霍尔效应的产生机制,而且完美重现了能隙大小随转移电子密度的变化行为 (图2c)。更为有趣的是,研究发现石墨烯中形成的绝缘态与衬底中形成的电子晶体相辅相成。这意味着电子晶体的存在帮助石墨烯打开能隙的同时,后者形成的关联绝缘态能反过来通过层间库仑作用稳定电子晶体,降低其凝聚能。由于打开能隙的石墨烯和电子晶体均有着相同周期的电荷密度空间调制,两者便会通过形成反相位的互锁结构,即一层电荷密度峰对应着另一层电荷密度谷,来降低总能,使维格纳晶体量子融化的临界电子浓度大幅度升高(图3a,b)。此外,课题组利用密度泛函理论第一性原理计算找到了CrOCl、CrI3、WS2、WSe2、MoTe2、PbO、AgScP2S6等15种可选绝缘衬底材料来实现以上协同关联效应,为相关实验研究提供了新思路和新途径。这其中,其他研究者也曾经在CrI3-石墨烯异质结中观测到类似的实验现象(NanoLetters 22, 8495 (2022)),进一步验证了该理论的正确性。
图 2. 在超晶格电势场下的石墨烯形成子能带,并在层内电子间库仑相互作用下在狄拉克点打开能隙,同时显著增强费米速度
研究进一步发现,改变电子晶体超晶格的晶胞大小和非各向异性能调制石墨烯中子能带的拓扑性质,产生非零的谷陈数。有趣的是,当增大超晶格各项异性时,在狄拉克点处短边方向的费米速度会降低甚至完全变平,从而导带和价带之间发生交叉。而每次能带交叉就会发生一次拓扑相变,能带的陈数便会发生改变。

图 3. 石墨烯和衬底中的电子晶体的电荷密度空间调制形成反相位互锁结构,从而通过优化层间库仑耦合来降低系统总能量
作为研究库仑耦合的异质结体系中多体物理问题的先行者之一,刘健鹏课题组深入探索了由栅电极对齐能带的石墨烯-绝缘体异质结中涌现出的协同关联绝缘态和拓扑非平庸性质,从理论上提出了通过层间库仑相互作用来稳定电子晶体的可行性,并通过高通量第一性原理计算提供了多种材料候选材料。这将进一步拓宽二维材料异质结方向的研究,有助于发现更多的新奇物理现象。