近期,小妲己直播-小妲己直播在线-小妲己成人直播 拓扑物理实验室齐彦鹏课题组联合北京理工大学王秩伟团队在拓扑半金属ZrTe2中发现压力诱导的超导电性及拓扑转变,该成果发表于国际知名学术期刊《先进科学》(Advanced Science)。
二维过渡金属硫族化合物(transition metal dichalcogenides, TMDCs)是继石墨烯之后的新型范德瓦耳斯材料,其天然的二维特性以及强自旋轨道耦合作用(spin-orbital coupling, SOC)带来了诸如金属-绝缘体转变、电荷密度波(charge density wave, CDW)、能谷电子学特性、非常规超导电性等新颖物理性质,使这类材料成为研究低维量子物理和新一代电子器件的又一理想平台。ZrTe2是一种典型的过渡金属二硫族化合物,近期的理论与实验研究表明其在常压下具有非平庸的拓扑性质。通过Cu、Ni等元素插层也可以在ZrTe2中引入超导电性。这些特点使得ZrTe2成为实现拓扑超导的候选材料之一。

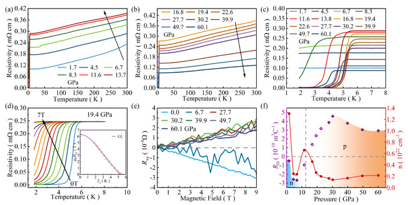
图1| ZrTe2压力下的输运测试。
高压处理可在不引入无序的条件下,改变材料的晶体结构、电子结构,是实现材料量子调控的有效手段。相比于常压物性,高压下ZrTe2的性质目前还鲜有研究报导。近期,我校小妲己直播
齐彦鹏课题组与北京理工大学王秩伟课题组合作,结合金刚石对顶砧的原位物性测量与第一性原理计算,对高压下拓扑半金属ZrTe2的晶体结构与电子结构进行了深入研究。
高压同步辐射X射线衍射实验表明,与其他过渡金属硫族化合物不同,ZrTe2的常压六方结构可稳定维持到49 GPa。高压原位输运测量发现ZrTe2在8 GPa左右出现超导相变,同时伴随载流子类型的转变。第一性原理计算证实,高压下ZrTe2的层间Te原子成键,提升了Te原子p电子在费米面上态密度的贡献;与此同时,高压下费米面形状发生转变,即出现压力诱导的Lifshitz相变,这与载流子类型改变相吻合。此外,第一性原理计算表明,ZrTe2在高压下能保持拓扑奇异性,并发生压力诱导的拓扑转变。这一研究结果表明压力可以有效调节ZrTe2的电子性质,ZrTe2在高压力下表现出的丰富物性为研究拓扑能带与超导电性的相关性提供了一个理想的平台。
齐彦鹏课题组一直致力于高压原位测量方面研究,利用自主开发的高压技术对功能材料实现量子调控,近年来在拓扑绝缘体SrIn2As2 (Phys. Rev. B. 2023, 108, 224510),拓扑异质结材料(PbSe)5(Bi2Se3)6 (Sci. China Mater. 2023, 66, 2822), 拓扑Kagome材料CsV3Sb5 (Adv. Mater., 2021, 33, 2102813),磁性拓扑绝缘体MnSb4Te7 (Phys. Rev. Mater. 2022, 6, L101801), 外尔半金属LaAlSi, (Phys. Rev. B., 2022, 105, 174502), 双拓扑半金属Pt2HgSe3 (npj Quantum Mater., 2021, 6, 98), 准一维外尔半金属(NbSe4)2I (Mater. Today Phys., 2021, 21, 100509), 准一维拓扑绝缘体Bi4I4 (npj Quantum Mater., 2018, 3, 4)等材料体系中都实现了压力诱导的超导电性。本次在ZrTe2中发现压力下的超导电性,是高压量子调控的又一重要进展,这些发现为寻找拓扑超导体提供更多可能性。



